Jason Ross ist wissenschaftlicher Berater des Schiller-Instituts und Schatzmeister der LaRouche-Organisation (TLO). Es folgt eine übersetzte, bearbeitete Abschrift seiner Grundsatzrede beim dritten Panel der Konferenz des Schiller-Instituts „Der Mensch ist nicht des Menschen Wolf“ am 12.–13. Juli 2025 in Berlin.
Ich werde über die wissenschaftlichen Herausforderungen sprechen, mit denen wir es im sich entwickelnden Neuen Paradigma zu tun haben, und über die Art der wissenschaftlichen Forschung, die sich in der Vergangenheit als die beste zur Lösung solcher Herausforderungen erwiesen hat. Dabei werden wir den Zusammenhang zwischen Wissenschaft und Wirtschaft sowie die Probleme der Informationstheorie erörtern, woraus sich die Möglichkeit ergibt, die Wissenschaft von innen heraus besser kennenzulernen.

Abbildung 1 zeigt eine Lebensform auf der Erde. Die Grafik ist nicht beschriftet – kann jemand erraten, um was es sich handelt? Es ist eine Lebensform auf der Erde, aber welche? Das Wachstum der menschlichen Bevölkerung? Kryptowährungen? Tatsächlich zeigt die Grafik die Vielfalt der Säugetiere in den letzten 150 Millionen Jahren. Die Säugetiere haben die früheren Reptilien und Dinosaurier verdrängt und verfügen über ein höheres technologisches Niveau. Dieses Wachstum kann man über 150 Millionen Jahre nachverfolgen.

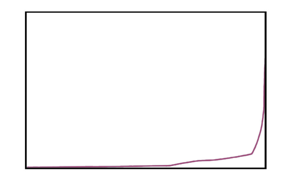
Und hier ist nun das Bild, das meiner Meinung nach die meisten wohl erwartet haben (Abbildung 2). Es zeigt die Entwicklung der menschlichen Bevölkerung über einen Zeitraum von 5000 Jahren. Der Zeitraum, den wir hier sehen, entspricht also einem Dreissigtausendstel der ersten Grafik. Praktisch wie in einem Wimpernschlag der Evolutionszeit haben wir die Beziehung unserer Gattung – und eigentlich allen Lebens – zur Natur und zueinander grundlegend verändert, und das wiederholtermassen.

Was ist also der Unterschied zwischen diesen beiden Arten des Wachstums? Bis sich etwas durchsetzt, was man als eine neue biologische bzw. evolutionäre Technologie bezeichnen könnte, sind Millionen von Jahren erforderlich. Die Entwicklung des Zellkerns von Eukaryoten, der Photosynthese, der Übergang zum Leben auf dem Land, die Warmblütigkeit oder die Flugfähigkeit – all das hat sehr, sehr lange gedauert. Die menschliche Entwicklung hingegen vollzieht sich rasant. Sie erfolgt in diskontinuierlichen Sprüngen, es kommt zu plötzlichen Veränderungen von einem grundlegend niedrigeren Zustand auf ein höheres Niveau, das nicht quantitativ und auf der niedrigeren Ebene nicht erreichbar oder ausdrückbar ist.
Diese Sprünge, diese Entdeckungen, finden im Geist des einzelnen Menschen statt. Sie werden zwar über die Gesellschaft umgesetzt, aber die Entdeckung selbst ist das geistige Produkt eines einzelnen Menschen. Das ist ein grundlegender Unterschied zwischen uns und den Tieren. Es gibt herausragende einzelne Menschen, aber außerhalb ihrer Beziehung zur menschlichen Kultur gibt es keine historisch bedeutenden Tiere. Wird in den Geschichtsbüchern der erste Otter genannt, der Muscheln auf seinem Bauch geknackt hat? Haben Tiere Geschichtsbücher geschrieben? Das ist ein grundlegender Unterschied. Wir Menschen stellen Hypothesen auf und nutzen neue Erkenntnisse und schreiben so neue Kapitel in unserer Geschichte.
Prometheisches Feuer
Ich möchte vier Beispiele nennen, die einen Eindruck von solchen Phasensprüngen vermitteln.
Erstens, das Feuer. Nach der griechischen Sage, wie sie von Aischylos erzählt wird, erhob sich die Menschheit zum ersten Mal über die Tiere, als Prometheus Zeus im Himmel das Feuer stahl und es uns überließ – zusammen mit vielen anderen geistigen Geschenken. Dadurch veränderte sich vieles im Leben der Menschen: Sicherheit vor wilden Tieren; Kochen, wodurch sich unsere Auswahl an sicher verzehrbaren Lebensmitteln erweiterte; Bearbeitung von Materialien durch Erhitzen von Steinen, um sie besser abzuspalten; Kochen von Wasser; Stoffe. Prometheus zählt noch weitere Fähigkeiten auf: Astronomie, Nutzung von Lasttieren, den Kalender, Gedichte, Segelschiffe und die Zahlen, um nur einige zu nennen.
Aber das Feuer ist das beste Beispiel für den grundlegenden Unterschied zwischen Menschen und Tieren. Wir haben das Potential, eine endlose Abfolge zukünftiger Verbesserungen zu schaffen. Was kann man noch mit Feuer anstellen? Wenn man mit Wärme Wasser in Dampf umwandelt, hat man einen Weg gefunden, Feuer in Bewegung umzuwandeln. Ein kleiner Teil der Arbeit, die früher für Produktionsprozesse erforderlich war, konnte so im Bergbau und für Dampfmaschinen eingesetzt werden. So konnte ein enormes Kraftreservoir freigesetzt werden, um Menschen und Tiere von schweren Tätigkeiten zu entlasten und Dinge, die bisher nur wenigen zugänglich waren, für eine breitere Masse nutzbar zu machen.
Zweitens, die Chemie. Tiere benutzen zwar physische Werkzeuge – Stöcke, Steine, Muscheln usw. –, doch Menschen haben die Fähigkeit, unsere Beziehung zur Natur mit Ideen zu verändern, beispielsweise durch chemische Technologien. Das erste wichtige Beispiel hierfür ist die Metallurgie. Abbildung 3 zeigt einen wunderschönen grünen Stein, der im Laufe der Geschichte vielfältige Verwendungszwecke hatte. Die Ägypter verwendeten ihn für Make-up. Weiß jemand, was man aus diesem Stein herstellen kann? Was machte ihn später industriell und kulturell so wichtig?

Man kann diesen grünen Stein in ein orangefarbenes Metall verwandeln. Das ist eine natürliche Form von Kupfer, das man schon früh in unserer Geschichte gefunden hat (Abbildung 4).

Später konnte man den Stein mit Hilfe der höheren Temperaturleistung von Holzkohle in Metall verwandeln. Abbildung 5 zeigt die traditionelle Weise, Holzkohle herzustellen. Holz wird dabei unter einer Abdeckung verkohlt, damit es keinen Zugang zu Sauerstoff hat, und man erhält so im Grunde einen reinen Kohlenstoffbrennstoff. Dieser entwickelt bei der Verbrennung höhere Temperaturen als Holz, ist sauberer als Holz und verfügt über die Energie und die chemischen Eigenschaften – nämlich viel Kohlenmonoxid bei der Verbrennung –, um Sauerstoff aus dem Gestein zu ziehen und das darin enthaltene Metall für unsere Verwendungszwecke freizusetzen.

Ein weiteres Beispiel aus der Chemie ist Mendelejews Entwicklung des Periodensystems der Elemente, mit dem er eine völlig neue chemische Sprache einführte. Physikalische Begriffe wie Dichte, Farbe, Härte, Flexibilität können die chemische Welt nicht richtig beschreiben, denn wenn man beispielsweise Graphit, Holzkohle und Diamanten miteinander vergleicht (Abbildung 6), unterscheiden sie sich in ihren natürlichen Eigenschaften sehr stark. Dennoch sind sie alle Verbindungen des Elements Kohlenstoff. Diamanten sind hart, Graphite nicht. Welche Härte hat Kohlenstoff? Graphit leitet Strom, Holzkohle nicht. Leitet Kohlenstoff Strom? Hat Kohlenstoff eine Dichte? Hat Kohlenstoff eine Farbe? Er hat keine dieser Eigenschaften.

Ein chemisches Element kann Teil von verschiedenen Verbindungen sein, die unterschiedliche physikalische Eigenschaften haben. Aber es gibt inzwischen eine neue Welt und sogar eine neue Sprache, die wir verwenden, um die Chemie zu charakterisieren – Atommasse, Valenz, Enthalpie – und chemische Umwandlungen zu verstehen. Die Fortschritte in der Chemie im 19. und 20. Jahrhundert brachten uns Verbrennungsmotoren, synthetische Farbstoffe, Dynamit, Kunststoffe, reichlich Stickstoffdünger, Motorflugzeuge, Wärmepumpen und neuartige Arzneimittel, um nur einige zu nennen.
Die Ungleichheit der Energiequellen
Drittens: Die dritte der vier Stufen, die ich erwähnen möchte, ist die Elektrizität. Nicht alle Energie ist gleich. Vergleichen wir zum Beispiel zwei Formen: Wärme und Elektrizität. Unter den Energieformen ist Wärme von geringerer Qualität als die konzentrierte Energie, die man durch elektrische Anwendungen nutzen kann. Selbst wenn die Hälfte der Wärme durch die Umwandlung in Elektrizität verlorengeht – zum Beispiel bei der Erzeugung von Dampf zum Betrieb einer Turbine –, leistet diese geringere Energiemenge in konzentrierterer Form mehr Arbeit als eine grössere Menge an Energie geringer Qualität. Die gesamte Wärme der Welt – selbst wenn man den größten vorstellbaren Kohlehaufen hätte – kann keine Röntgenaufnahme eines gebrochenen Knochens machen und keine Metalle mit Laserpräzision verbinden. Mit einem Kohlehaufen kann man keine Internetseite betreiben. Mit Elektrizität ist das anders.

Betrachten wir als Fallstudie Abbildung 7. Hier ist der Energieverbrauch pro Kopf in den Vereinigten Staaten (rot) und in China (blau) dargestellt. Man sieht, dass der eine Verbrauch sich deutlich verändert, der andere kaum. Schauen wir uns die spezifischere Energieform Strom an (Abbildung 8). Hier sieht man den Stromverbrauch pro Kopf in den Vereinigten Staaten (rot) und in China (blau). Die Kombination beider Grafiken (Abbildung 9) veranschaulicht, welcher Anteil der Energie auf Strom entfällt. Hier sieht man in Rot den Anteil des Energieverbrauchs in den USA als elektrischen Strom, und in Blau sieht man die enorme Veränderung in China, nicht nur beim Energieverbrauch pro Kopf, sondern auch bei der Art der pro Kopf verbrauchten Energie.

Dies bringt uns zu Lyndon LaRouches Idee der Energieflussdichte, die er wiederholt in seinen Schriften betont hat. Menschlicher Fortschritt bedeutet mehr Energie, mehr Menschen, mehr Kapitalintensität und eine dichtere Anwendung von Energie höherer Form.

Viertens: Die vierte und letzte Phase, über die ich sprechen möchte, ist das Atomzeitalter. Unsere heutigen Kernkraftwerke sind bereits in der Lage, aus einer außerordentlich geringen Menge an Brennstoff zuverlässig Strom zu liefern. Mit geringem Arbeitsaufwand für den Abbau und die Verarbeitung von Uran wird eine enorme Menge an Energie erzeugt. Sobald wir die Kernfusion beherrschen – den Prozess, der die Sonne antreibt –, könnte das eine Veränderung bewirken, die in ihrer Bedeutung für die Menschheit mit der Einführung der Dampfmaschine vergleichbar ist.
Die Kernfusion war für Lyndon LaRouche ein zentrales Thema; er gründete in den 1980er Jahren die Fusion Energy Foundation (FEF), die das Fusion Magazine herausgab. Die FEF war der größte Förderer der Fusionsforschung in den Vereinigten Staaten; sie war auch international tätig.
Mit der reichlichen und kostengünstigen Energie aus der Kernfusion werden sich grundlegend neue Beziehungen in vielen Bereichen entwickeln: unsere Beziehung zum Wasser, wenn wir Wasser kostengünstig entsalzen können, um es für die Landwirtschaft zu nutzen; unsere Beziehung zu Materialien, wenn wir Erze verarbeiten können, ohne wie heute auf die Chemie von Holzkohle oder Koks angewiesen zu sein; unsere Beziehung zur Raumfahrt – die Möglichkeit, den Mars in einer Woche zu erreichen oder gefährliche Asteroiden abzulenken. Und es wird sogar möglich sein – was zwar etwas spekulativ ist –, aber mit der Entwicklung der Kernfusion wäre genug Energie verfügbar, um Europa mit Klimaanlagen auszurüsten!
Neue Ideen, neue Welten
Anhand der vier genannten Phasen wird das Menschenbild deutlich, das die Schöpfer der europäischen Renaissance als Identität des menschlichen Individuums erkannten: der Mensch, der im Abbild des Schöpfergottes geschaffen wurde. In einem der Musikstücke, die wir gestern Abend gehört haben, vertont Haydn die Worte: „Und eine neue Welt entspringt auf Gottes Wort.“ Welche neuen Welten werden wir aus unseren Ideen entstehen lassen? Was kommt als nächstes? Was sind die Grenzen der Wissenschaft heute, und welche Fortschritte werden wir bei ihrer Überwindung erzielen?
Der Bereich der Kernenergie ist noch nicht vollständig beherrscht. Wir können heute die Kernfusion zuverlässig zur Herstellung ungeheuer zerstörerischer Waffen nutzen, aber noch nicht zur Stromerzeugung oder zum Antrieb von Raumfahrzeugen. Energiespeichertechnologien, seien es chemische Batterien oder neu entwickelte Technologien, werden großen Einfluss auf unsere Energieversorgung und den Verkehr haben.
Aber selbst wenn wir über extrem kostengünstige Energiespeicher verfügten und die Erde mit Sonnenkollektoren überziehen würden, bräuchten wir immer noch die Kernfusion! Alle Sonnenkollektoren, Windräder und Kohlekraftwerke der Welt können kein Raumschiff antreiben, können keine Weltraummission in Gang setzen, die unseren Planeten vor einem Asteroiden schützt, wenn wir eines Tages erfahren, dass er auf uns zurast und einen ganzen Kontinent oder vielleicht sogar alles Leben auf der Erde zerstören würde. Nur die Kernfusion kann das Überleben der Menschheit, ja sogar allen Lebens auf unserem Planeten sichern.
Vor etwas mehr als einem Jahrhundert waren die beiden Entdeckungen von Max Planck und Albert Einstein – die Quantenphysik und die Relativitätstheorie – nur der Anfang, unser Verständnis von Licht, Materie, Energie, Raum und Zeit zu verändern. Tatsächlich haben sich ihre beiden Entdeckungen sogar als grundlegend unvereinbar erwiesen. Welche neue Hypothese wird es uns ermöglichen, ihre beiden Arbeiten in einem neuen Licht zu betrachten, um beispielsweise die Widersprüche der Quantengravitation miteinander in Einklang zu bringen?
In Galaxien – man denke an die Spiralarme – drehen sich die Sterne um das Zentrum. Diejenigen, die weiter vom Zentrum entfernt sind, bewegen sich jedoch „zu schnell“. Denn ausgehend von den anderen sichtbaren Sternen in der Galaxie lässt sich eine bestimmte Geschwindigkeit für ihre Rotation um das Zentrum vorhersagen. Die äußeren bewegen sich jedoch schneller. Wird dies durch dunkle Materie verursacht oder gibt es einen anderen Grund? Die dunkle Energie wurde als Hypothese aufgestellt, um die überraschende Expansion des gesamten Universums zu erklären. Ist das eigentlich der richtige Ansatz?
Um diese großen Fragen anzugehen, die sich mit dem neuen Paradigma stellen, müssen wir die Art des Denkens betrachten, die darauf verwendet werden muss. Die sozialen Auswirkungen der Überfütterung mit Kurzbeiträgen und Videos auf X, TikTok usw. machen es schwierig, einen Gedanken zu Ende zu denken oder komplexe Konzepte zu entwickeln. Und „Information“ an sich ist so dominierend geworden, dass wirkliche Ideen verdrängt werden. Zum Unterschied zwischen Information und Idee möchte ich aus Lyndon LaRouches Schrift „Über die Metapher“ (1992)1 zitieren:

„Im Laufe der nun 25 Jahre währenden Herrschaft des heutigen ,New Age‘-Kults wurden die Erkenntnisfähigkeiten der Amerikaner in verhängnisvoller Weise verkrüppelt. Betroffen von diesem Verlust ist im wesentlichen die Generation der heute unter 50-Jährigen. Ursächlich für diese geistige Verkümmerung war in nicht zu unterschätzendem Masse der vielfältige Einfluss jener modernen Lehre, die sich hinter den Schlagwörtern ,Systemanalyse‘, ,Linguistik‘ und ,Informationstheorie‘ verbirgt.
So werden heute beispielsweise Schüler kaum noch dazu angehalten, kraft eigener Geistestätigkeit die sokratische Erfahrung der Entdeckung eines entscheidenden Prinzips wissenschaftlichen Wissens selbst zu durchleben. Fehlt es an dieser an Gymnasien einst tradierten Form des Unterrichts etwa auf dem Gebiet streng formaler und synthetischer (konstruktiver) Geometrie, werden Schüler praktisch außerstande sein, einen intellektuellen Zugang zu auch nur den einfachsten Grundlagen der Physik zu entwickeln. Der moderne Unterricht hat sich von dem als vielfach ,autoritär‘ beklagten Vermitteln von Konzepten abgewandt; statt dessen übt sich der heutige ,demokratische‘ Unterricht mit seinen sterilen Lehrbüchern in der Vermittlung reiner ,Informationen‘.
Noch vor einer Generation war es üblich, Fortschritte eines Schülers daran zu messen, ob er vorher Gelerntes auf bislang unbekannte Probleme anwenden und diese zu einer konstruktiven Lösung führen könnte. Heute bedienen sich Schulen ,effizienterer‘ Praktiken, indem man Schüler darauf trimmt, vom Computer erstellte ,multiple-choice‘-Fragebögen richtig aufzufüllen.
Die jüngste Vergangenheit belegt schmerzlich, wie diese und andere praktische Anwendungen der pathologischen Informationstheorie dazu beigetragen haben, die Konzentrationsspanne ihrer Opfer zu vermindern. Damit einhergehend ist ein qualitativer Verlust jenes Vernunftpotentials zu beklagen, das gemeinhin mit Errungenschaften auf dem Gebiet von Wissenschaft und Technik in Verbindung gebracht wird. Im gleichen Masse aber, wie die Fähigkeit zu wissenschaftlichem Denken verlorengeht, kommt dem Einzelnen auch das Verständnis und die Freude an der Kunst abhanden, sei es die klassische Musik oder die klassischen Tragödien eines Aischylos, Cervantes, Shakespeare und Schiller.
Solche Beobachtungen werfen die Frage auf: Worin besteht die eigentliche Gefahr einer zunächst so harmlos erscheinenden technischen Lehre wie der Informationstheorie auf die Gesellschaft? Der Schlüssel zur Antwort liegt in der strengen, sokratischen Definition der Metapher, einem Begriff aus der Kunst. Mit ,Metapher‘, wie William Empson sie in den Sieben Formen der Mehrdeutigkeit (um nur ein Beispiel zu nennen) identifiziert, bezeichnen wir ein Phänomen, das man normalerweise mit klassischen Formen der Poesie und des Dramas in Zusammenhang bringt. ,Streng‘ soll heißen, dass wir die Metapher als charakteristischen Wesenszug jener Gedankenprozesse darstellen werden, die sich auf die geometrischen Grundlagen der Physik beziehen. Damit ist unsere Aufgabenstellung hinlänglich angezeigt.“
Der „schmale Grat“ wirklicher Genies
Die LaRouche-Organisation (TLO) wird in Kürze wieder eine Reihe von Kursen und Diskussionen über wichtige Persönlichkeiten und deren Entdeckungen durchführen, die Lyndon LaRouche als den „schmalen Grat“ wirklicher Genies im Laufe der Geschichte identifiziert hat. Als Leitkonzept wird im Mittelpunkt der Reihe das primäre Konzept von Veränderung stehen, die Frage, wie man Ursache selbst versteht. Wir werden Primärquellen lesen und darüber diskutieren, angefangen mit den Dialogen des griechischen Denkers Platon, eines Schüler von Sokrates; dann Nikolaus von Kues; Johannes Kepler, der erste Wissenschaftler, der die Astronomie in den Bereich der Physik überführte; Pierre de Fermat, der das Prinzip der Intention in der wissenschaftlichen Forschung revolutionierte und über den Sie in einem Buch von mir mehr lesen können;2 der brillante Universalgelehrte Gottfried Leibniz, dessen Infinitesimalrechnung uns eine Sprache gab, mit der man Ursachen direkt beschreiben konnte; sowie Carl Friedrich Gauß und Bernhard Riemann, deren Arbeiten über den komplexen Bereich, über die Form des Raums und über höhere Transzendentale den damals in der Mathematik vorherrschenden Formalismus in Frage stellten, indem sie die Entdeckung an sich zur Grundfrage des Universums machten.

Anschließend werden wir das, was wir über die Geschichte dieser großartigen Entdeckungen gelernt haben, mit der Funktionsweise der Künstlichen Intelligenz vergleichen und kontrastieren. Was geschieht eigentlich in ChatGPT, während es über Ihre Frage nachdenkt? Und inwiefern ähnelt oder unterscheidet sich das von der guten alten natürlichen Intelligenz?
Mein Ziel mit dieser Reihe von Diskussionen über Lyndon LaRouches schmalen Grat der wissenschaftlichen Entdeckung darin besteht, den Prozess der Hypothese der höheren Hypothese wiederzubeleben. Wir müssen wieder Erkenntnisse über die Qualität des Denkens entwickeln, um zu neuen, höheren Hypothesen zu kommen, mit denen sich die Widersprüche bisherige Sichtweisen auflösen lassen. Indem man sich direkt mit dieser Hypothese der höheren Hypothese auseinandersetzt, lässt sich Kreativität lehren! Vielen Dank.
Fußnote(n)
- Lyndon H. LaRouche jr., „Über die Metapher“, in Ibykus Nr. 40/1992, S.7 ff.[↩]
- Siehe auch die Vorstellung des Buches von Jason Ross: „The Battle for Light: Fermat vs. Descartes, A Sourcebook on Pierre de Fermat’s Principle of Least Time (Der Kampf ums Licht: Fermat vs. Descartes. Ein Quellenbuch über Pierre de Fermats Prinzip der kürzesten Zeit) in FUSION 01/2025.[↩]
